Friday, 11 November 2022

Did you know that 'algebra' is actually Arabic?

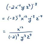
'Algebra' is a word borrowed from Arabic 'al-jabr'. The word entered the English language some time around 1551.


algebra [noun] [1551]
  • a generalization of arithmetic in which letters representing numbers are combined according to the rules of arithmetic
  • any of various systems or branches of mathematics or logic concerned with the properties and relationships of abstract ...
See 'algebra' on the Loan Words Map

See more loan words from Arabic.

Etymology: Medieval Latin, from Arabic 'al-jabr' literally, the reduction
See more loan words from 1500s.


No comments:

Post a Comment